zurück Home

Pencel Beam Convolution, PBC

allgemeines
   Geschlafen
Strahlen - Physik Technik der Strahlentherapie Radioonkologie
PBC Pencel Beam Convolution sehr verbreitet, sehr schnell, ungenau bei starken Inhomogenitäten
Model Bei diesem Modell besteht der Therapiestrahl aus nadelförmigen Strahlen. Jeder Strahl hat eine Dosis - Querverteilung.
Berechnung Die Dosis wird durch eine Summe von Gaußfunktionen modelliert.
PBC-Formel
D: Dosis
K: Pencil-Beam-Kernel
W: Photonen - Fluenz - Verteilung
N: Normalisierungsfaktor
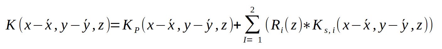
Kernel Der Kernel besteht aus 2 Komponenten: die primäre Bestrahlung und die Streustrahlung.
PBC-Kernel
Parameter Die Parameter für dieses Modell werden durch Messungen der Dosis - Profile in verschiedenen Tiefen, der Tiefendosis - Kurve und der Phantom - Streufaktoren ermittelt.
Quellen 1.) Khan FM, Gibbons JP, Sperduto PW:
Khan’s Treatment Planning in Radiation Oncology.
4th Edition Wolters & Kluver 2017

Khan FM: Treatment Planning in Radiation Oncology.
Lippincott, 3. Auflage 2011



Impressum                           Zuletzt geändert am 05.03.2015 23:43