| zurück Home | algebraische Operationen | |||
| allgemeines | ||||
| algebraische Operatoren | + - * / Wurzel, Potenz, Logarithmus | |||
| Logarithmus | log (x + y) = log x + log y | Schlüsselfunktion zur Multiplikation großer Zahlen ohne EDV. Prinzip des Rechenschiebers: Multiplikation durch verschieben von 2 logarithmischen Skalen. | ||
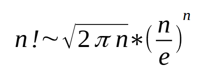
| Fakultät | n! = 1 * 2 * 3 * ... * n | Näherungsformel nach Sterling![]()  | 
||
n über k![]()  | 
||||
| Matrizen | ![]()  | 
|||
| 
	 | 
  ||||
Impressum Zuletzt geändert am 13.02.2015 18:25